Inline Image or File Synchronization
Overview
OpsHub Integration Manager supports the synchronization of images and files across end systems in fields, comments, and as attachments on the entity.
There are certain types of end systems based on how they add images/ files on their entity fields and comments.
Entity Storage:
Upon adding an image/ file to rich text fields, the same image/ file is also added as an attachment to the entity.
Example: If image/ file is added to rich text field in Rally, the same image/ file will be visible in attachment section of the entity.
Entity Storage Systems: Rally, Jira, OpenText ALM Quality Center (Formerly Micro Focus ALM/QC), qTest, DOORS NG, ServiceNow, Codebeamer, Windchill, TestRail, OpenText ALM Octane, Enterprise Architect, Aha!, Redmine
Server Storage:
Upon adding an image/ file to rich text fields, they are uploaded to an end system location itself, but the image/ file will not be added as an attachment to the entity.
Example: If image/ file is added to rich text field in Azure DevOps, this image/ file will not be visible in attachment section of entity. Instead, it will be uploaded to an end system.
Server Storage Systems: Version one, Jama, Aras, Readyone, Salesforce, ETM, DOORS, Hubs=Spot, Azure DevOps
Base64 Storage:
Upon adding an image/ file to rich text fields, they are not uploaded anywhere. The raw data itself is encoded in Base64 and is set in the rich text field. Image/ file will not be added as an attachment on the entity.
Example: If image/ file is added to rich text field in Broadcom Clarity, image/ file will not be uploaded anywhere. Also, it will not be added as attachment on the entity.
Base64 Storage Systems: Broadcom Clarity
Image/ File Synchronization Behavior with Storage Combinations
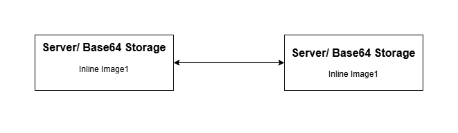
Server/ Base64 Storage System Combinations

Between server/ base64 and server/ base64 storage combination systems, if an inline image/ file is added to the entity upon synchronization by OpsHub Integration Manager as shown in the above image, it will be similar to the way image/ file is added to the source end system entity, i.e., it will only be added on inline field/ comment.
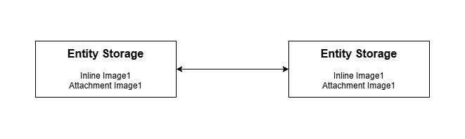
Entity Storage System Combinations

Between entity and entity storage combination systems, if an inline image/ file is added to the entity, upon synchronization by OpsHub Integration Manager as shown in the above image, it will be similar to the way image/ file is added to the source end system entity, i.e., it will be added on inline field/ comment and also as an attachment on the entity.
Due to the entity storage system's behavior of auto-adding the image/ file as an attachment to the entity regardless of whether attachment synchronization is enabled/ disabled in mapping. OpsHub Integration Manager will also add the attachment on the entity to synchronize the image/ file.
Server/ Base64 Storage and Entity System Combinations

Between server/ base64 and entity storage combination systems, if an inline image/ file is added to the entity, upon synchronization by OpsHub Integration Manager above shown image will be the way image/ file will be added to the entity.
When the entity storage system is the target, OpsHub Integration Manager will auto-add the image/ file as an attachment to the entity.
When server/ base64 storage system is the target, OpsHub Integration Manager will not auto-add the image/ file as an attachment to an entity. It will only be added in the rich text field/ comment.
View parity between these storage combinations will be due to end-system behavior differences.
Image/ File Synchronization Behavior with Text Fields/ Comments
In the case of a Text type field/ comment, we cannot add renderable images/ files.
Hence, we will add a custom tag with the uploaded image/ file URL and the filename of the uploaded image/ file.
In case of backward synchronization of such fields:
The original uploaded image to the original source will be preserved. i.e., in backward synchronization, we will ensure that the renderable source image is not removed.
For Base64 end systems, since a custom tag was not added in backward sync, the original image added to the source entity will be removed.
Note: If the target end system is Base64 storage and the mapped field is text type, then bidirectional mapping with a rich text field is not advisable due to the removal of the image at the source field
Image/ File Synchronization Behavior with Target end system not supporting Inline Synchronization
In case the target end system does not support inline synchronization, and an inline image/ file is added to the source entity rich text field/ comment, then upon synchronization by OpsHub Integration Manager, below mentioned will be the behavior:
Data synchronized to the target entity will not have any renderable images/ files or opshub custom tags for image/ file when it is not a renderable field/ comment.
Images/ files will be uploaded to the entity as attachments.
In backward synchronization, from such end systems, the originally added images/ files will be removed from the fields.
Image/ File Synchronization Behavior with Comment
If a comment has been synchronized by OpsHub Integration Manager with an inline image/ file, the target comment will also have the image/ file.
Now, even if the comment is deleted in the source end system, the image/ file will persist in the target comment and also as an attachment on the entity in case it is an entity storage end system.
Synchronization Behavior
Following are the Before and After behaviors for the given scenarios:
Serial No.
Scenario
Source Applicable To
Target Applicable To
Behavior before 7.195
Behavior after 7.195
1
- Create entity with no attachment or inline images - Add inline image to entity & start synchronization
Entity Storage
Server Storage
- An image will be uploaded twice, one as attachment & second as inline image - Due to re-upload of image, one image of source will be in sync with multiple target images
- An image will be uploaded on server & will be referred in rich text field
1 (contd.)
Entity Storage
Entity Storage
- An image will be added to entity as attachment & will be referred in rich text field
Same
2
- Create entity with no attachment or inline image - Add comment with inline image & start synchronization
Entity Storage
Server Storage
- First, image will be added as attachment - When the image is detected as inline image, the same will be removed from the attachment - A new image will be uploaded as the inline image. It will be referred from rich text field or comment.
Same
3
- Create entity with one attachment - Add the same file in rich text field
ALL
ALL
Same
Same
4
- If the rich text field was not mapped previously and it had inline images - After few revisions, rich text field is mapped
ALL
ALL
- No image was added in target, OH_IMG tag was added with a unique code
- Field will have inline images in target
5
- Create entity with multiple same name images referred in single rich text field & synchronize to target - Update target entity & start other way synchronization
ALL
ALL
- All same named images will be mapped to one source image
- Despite matching file names, a one-to-one mapping between source and target images will be preserved
6
- Create entity with same image referred in two or more rich text fields - Update the content of image - In later revision, both rich text field has some text appended
ALL
ALL
- Inline image will be updated twice - Due to re-upload, one image of source will be in sync with multiple target images
- Inline image will be updated only once
7
- HTML type of field is mapped with text field in target - Source field has an inline image
ALL
Server Storage
- Two images will be uploaded, one as external image in target system and other as attachment on entity
- In target text field, it will be shown as <ImageTag>Img1.png</ImageTag>
- One image will be uploaded in the target system and this will not be visible in attachment section of entity
- In target text field, it will be shown as <ImageTag src=”Server storage uploaded URL”>Img1.png</ImageTag>
7 (contd.)
ALL
Entity Storage
- Attachment will be uploaded twice
- In target text field, it will be shown as <ImageTag>Img1.png</ImageTag>
- Attachment will be visible in attachment section of entity.
- In target text field, it will be shown as <ImageTag src=”Attachment URL”>Img1.png</ImageTag>
7 (contd.)
ALL
Base64 Storage
- Inline image with base64 storage is not supported
- Target text field will have <ImageTag>Img1.png</ImageTag>
- Image will not be uploaded to attachment or anywhere. Instead, an image tag with filename will be created
8
- Same source field is mapped to two different fields in target & one of them is a text field and other one is a rich text field - Source field has inline image
ALL
Server Storage
- Image will be synchronized both as inline image for rich text field and as attachment to the target entity
- Rich text field has inline image
- Text field has <ImageTag>Img1.png</ImageTag>
- Entity has attachment
- Rich text field will have inline image
- Text field will have <ImageTag src = ”Server storage uploaded URL”>Img1.png</ImageTag>
- Image will be uploaded to external server and will be referred in these 2 fields
8 (contd.)
ALL
Entity Storage
- Rich text field will have inline image
- Text field will have <ImageTag src= ”Attachment URL”>Img1.png</ImageTag>
- The entity will have only the attachment due to the implicit behaviour of Entity Storage Connector
Same
9
- Create entity with no attachment or inline image - Add comment with inline image & start synchronization - Target end system does not support inline image in comments
ALL
Server Storage
- Same image will be uploaded twice to the end system - Attachment will be added to the entity also
- First, image will be added as attachment
- When the image is detected as inline image, the same will be removed from attachment & image will be uploaded to server again
- The comment will be added with <ImageTag src = ”Server storage uploaded URL”>Img1.png</ImageTag>
9 (contd.)
ALL
Entity Storage
- First, image will be added as attachment to entity
- When the image is detected as inline image, a comment will be added with <ImageTag src = ”Attachment URL”>Img1.png</ImageTag>
Same
10
- Comment synchronization is enabled - Rich text field is mapped to text field in target - Both have same inline image
Entity Storage
Server Storage
- Image will be uploaded to server system & text field data added with <ImageTag src = ”Server storage uploaded URL”>Img1.png</ImageTag>
- Comment will be added with referred inline image
Same as before
11
- Source HTML field is mapped to target text field - Create entity with inline image & synchronize - Update target text field & start reverse synchronization (from target to source)
ALL
Base64 Storage
- Inline image with base64 storage is not supported
- If same name image is found in source entity, it will be replaced with source URI - In case, image with same name is not found, the image will be removed from the source entity
12
- Create entity with rich text field having image 1 - In next revision, image 2 is uploaded on the same field - If the events fail and are in retry but image 1’s base64 data is missing from the write-side cache
Base64 Storage
ALL
- Inline image with base64 storage is not supported
- Base64 content for image 1's hashcode will be queried in source entity - Since, it is no longer present on entity now, image 1 will not be synchronized - In the next revision, image 2 will be synchronized
Last updated

